電話:021-69515711
手機:13818065015
傳真:021-69515712-
1049485
-
8459743
-
1993509414
:renrimarket
market@renri.com.cn
簡介:
REN700型通道式車輛放射性檢測系統是用于對通過通道的卡車、集裝箱等車輛內運輸物品的放射性污染及輻射泄露水平的全天候探測系統。該系統具有靈敏度高、探測范圍廣、響應時間短等特點,可實現自動輻射報警、自動數據存儲、自動抓拍通過車輛照片等功能。主要安裝在核
REN500B型智能化х-γ輻射儀是監測各種放射性工作場所х、γ射線輻射劑量率的專用儀器。該儀器具有較大的劑量率測量范圍和能量響應特性。此外通過配套的RenRiRate劑量率管理軟件可將存儲的數據讀出后分析。該儀器廣泛用于衛生、環保、冶金、石油、化工、醫院、加速器、工業探傷
REN500A型智能化х、γ輻射儀(又叫環境監測用X、γ輻射空氣比釋動能(吸收劑量)率儀或便攜式X、γ輻射周圍劑量當量率儀)采用高靈敏的閃爍晶體作為探測器,反應速度快,具有較寬的劑量率測量范圍。 該儀器除能測高能、低能γ射線外,還能對低能X射線進行準
REN600A型α、β、γ射線表面污染儀即可檢測α、β、γ射線,也能檢測到X射線,它采用高速嵌入式微處器作為數據處理單元,點陣式大屏幕LCD液晶顯示,讀數清晰、操作方便,具有800條超大容量數據存儲。儀器采用進口的大面積MICA蓋革探測器,具有較高探測效率,可進行α、β輻射表面污染檢測和X、γ輻射劑
REN510型便攜式γ譜儀主要用于安檢、反恐、核事故現場的污染分析,可進行γ輻射劑量的測量,同時系統內置核素庫,可以自動識別人工及天然同位素。儀器為一體式,內置2英寸NaI(Tl) γ探測器,可同時測量γ能譜、γ劑量率。儀器為全數字化,集探測器、成型放大器、多道分析器、電源、觸摸屏、內存為一體,功耗
REN300B在線輻射安全報警儀是一種新型的x-γ輻射連續監測報警裝置,它采用特殊設計的前置放大電路,具有靈敏度高、操作方便、自動顯示和超閾值報警等特點,能實時給出xγ輻射劑量率;儀器內置海量數據存儲功能,能存儲10年的歷史數據且標配提供強大的RenLocal輻射監測數據分析軟件。考慮
REN200A型X、γ輻射個人劑量當量HP(10)監測儀(簡稱:個人劑量報警儀)內置高靈敏度蓋格計數管為探測器,主要用來監測各種放射性工作場所中個人的X、γ以及硬β射線的輻射,具有響應快,測量范圍寬的特點。能顯示工作場所的劑量當量率和累積劑量,更換電池時,日期及累積數據能永久保存。可選配RenRiP
REN系列智能化輻射探頭均可和REN300、REN300A、REN300B系列主機配套使用,也可以單獨配套RenRiArea輻射區域監測軟件使用。且具有RS485/RS232的通訊能力。所有探頭均可單獨外接報警燈,在超閾值的情況下就地給出
環境電磁波衛生標準
2005/12/27 15:57:00
環境電磁波衛生標準中華人民共和國國家標準 UDC 614.898.5 GB 9175─88Hygienic standard for environmental electromagnetic waves 本標準為貫徹《中華人民共和國環境保護法 (試行)》,控制電磁波對環境的污染、保護人民健康、促進電磁技術發展而制訂。 本標準適用于一切人群經常居住和活動場所的環境電磁輻射,不包括職業輻射和射頻、微波治療需要的輻射。 1 各詞術語1.1 電磁波 本標準所稱電磁波是指長波、中波、短波、超短波和微波。 1.1.1 長波 指頻率為 100~300KHz,相應波長為3~1km范圍內的電磁波。 1.1.2 中波 指頻率為 300KHz~3MHz,相應波長為1km~100km范圍內的電磁波。 1.1.3 短波 指頻率為 3~3MHz,相應波長為100~10m范圍內的電磁波。 1.1.4 超短波 指頻率為 30~300MHz,相應波長為10~1m范圍內的電磁波。 1.1.5 微波 指頻率為 300MHz~300GHz,相應波長為1m~1mm范圍內的電磁波。 1.1.6 混合波段 指長、中、短波、超短波和微波中有兩種或兩種以上波段混合在一起的電磁波。 1.2 電磁輻射強度單位 1.2.1 電場強度單位 對長、中、短波和超短波電磁輻射,以伏/米( V/m)表示計量單位。 1.2.2 功率密度單位 對微波電磁輻射,以微瓦/平方厘米( μW/cm 2 )或毫瓦/平方厘米(mW/cm 2 )表示計量單位。 1.2.3 復合場強 指兩個或兩個以上頻率的電磁波復合在一起的場強,其值為各單個頻率場強平方和的根值,可以下式表示:
式中: E──復合場強,V/m; E 1 、E 2 ......En──各單個頻率所測得的場強,V/m。 1.3 分級標準 以電磁波輻射強度及其頻段特性對人體可能引起潛在性不良影響的閾下值為界,將環境電磁波容許輻射強度標準分為二級。 1.3.1 一級標準 為安全區,指在該環境電磁波強度下長期居住、工作、生活的一切人群(包括嬰兒、孕婦和老弱病殘者),均在會受到任何有害影響的區域;新建、改建或擴建電臺、電視臺和雷達站等發射天線,在其居民覆蓋區內,必須符合 “一級標準”的要求。 1.3.2 二級標準 為中間區,指在該環境電磁波強度下長期居住、工作和生活的一切人群(包括嬰兒、孕婦和老弱病殘者)可能引起潛在性不良反應的區域;在此區內可建造工廠和機關,但在許建造居民住宅、學較、醫院和療養院等,已建造的必須采取適當的防護措施。 超過二級標準地區,對人體可帶來有害影響;在此區內可作綠化或種植農作物,但禁止建造居民住宅及人群經常活動的一切公共設施,如機關、工廠、商店和影劇院等;如在此區內已有這些建筑,則應采取措施,或限制輻射時間。 2 衛生要求環境電磁波許輻射強度分級標準見下表。
3 監測檢驗方法本標準環境電磁波容許輻射強度監測檢驗方法見附錄 A。 4 監督執行 各級衛生防疫站或各級環境衛生監測站負責監督本標準的執行。 附 錄 A環境電磁波測量規范 (補充件) A.1 適用范圍 本規范適用于放輻射源所產生的環境電磁波,其頻率覆蓋范圍:長、中、短波( 100kHz~30MHz),超短波(30MHz~300MHz),及微波(300MHz~300GHz)。 A.2 規范內容 A.2.1 測量方式 根據不同需要與目的,應用不同的測量方式,對已建臺和擴建臺,為調查輻射源周圍環境電磁波輻射強度,及其分布規律,常以輻射源為中心,在不同方位取點的方式進行測量,簡稱點測;為全面調查某地區環境電磁波的背景值及按人口調查居民人群所受輻射強度的測量簡稱面測。 A.2.1.1 點測時以輻射源為中心,將待測區按5°~10°角度劃線,呈扇形展開。隨此劃線,近區場以每隔5~20min定點測量,遠區場以每隔50~100m定點測量,或按特殊需要選點測量。 A.2.1.1.1 簡易測量:一般用各向同性探頭的寬頻段場強儀測定之,如探頭為非各向同性者,則分別測定各不同極化方向的場強值,取其矢量和。 A.2.1.1.2 面測量,將待測地區(城市)按人口統計劃分若干小區,并標明各小區居民重心地理坐標,從中選擇若干有代表性的小區作為監測點,測量儀器應用環境電磁波自動監測系統,實現各頻段自動掃描、自動測量和實時處理。然后根據各小區人口數量進行加權,求出該地區(城市)居民環境電磁波暴露強度累加百分數。 A.2.2 測量位置 A.2.2.1 曠野平坦地面環境測量一般以人的高度,即1.7m左右處測定,如為待建地段,則應在待建建筑物相應高度處測定。 A.2.2.2 建筑物內部測量,應以不同層次選擇有代表性的若干點分別測定之。 A.2.3 測量儀器 輻射源周圍的測量,應選用靈敏度 ≤1V/m,或≤1μW/cm 2 ,精度≤│2DB│的場強儀;區域性背景場強測量,應選用寬頻帶天線、頻譜分析儀和電子計算機配套的自動處理系統。 A.2.4 測量記錄整理 除記錄全部測量數據外,還應包括:測量地點、測量地點、測量時間、測量日期、測量儀器、天線高度及參加測量人員等。 A.2.5 場強計算 按公式計算,主要供新建廣播電臺、電視臺、雷達站、地面衛星站等地點選擇和建立衛生防護帶作根據。 A.2.5.1 長、中波(垂直極化波)場強計算公式:
F=1.41·(2+0.3X)/(2+X+0.6X 2 ).......................(A 2 )
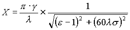
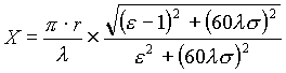
式中: P──發射機功率,KW; r──被測點與發射天線的距離,Km; G──相對于接地基本振子的天線增益,DB; F──地面的衰減系數; X──數量距離; λ──波長,m; ε──介電常數; δ──導電系數,1/Ω·m。 A.2.5.2 短波(水平極化波)場強計算公式: 短波 (水平級化波)場強計算公式同式(A 1 )、(A 2 ),但其中X按式(A4)計算:
A.2.5.3 電視、調頻超短波場強計算公式
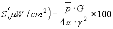
式中: P──發射機功率,KW; G──相對于半波偶極子的天線增益,DB; r──被測點與發射天線的距離,Km; F(θ)──天線垂直面方向性函數(視天線型式和層數而異)。 A.2.5.4 雷達等微波功率密度S計算公式:
G──天線增益,DB; r──天線與被測點距離,m。 A.2.6 計量單位的換算 電場強度與功率密度在遠區場中的換算公式 S=E 2 /377...................................(A 7 ) 式中: S──功率密度,W/m 2 ; E──電場強度,V/m。 附加說明: 本標準由浙江醫科大學負責起草,由南京醫學院、北京醫科大學、同濟醫科大學參加起草。 本標準主要起草人姜槐、邵斌杰、施浚人。 本標準由衛生部委托技術歸口單位中國預防醫學科學院環境衛生監測所負責解釋。 | |||||||||||||||||||||||
|
GB 9175-88 | |||||||||||||||||||||||
產品描述: REN系列智能化輻射探頭均可和REN300、REN300A、REN300B系列主機配套使用,也可以單獨配套RenRiArea輻射區域監測軟件使用。且具有RS485/RS232的通訊能力。所有探頭均可單獨外接報警燈,在超閾值的情
產品名稱:REN300A型在線輻射安全報警儀
產品描述: REN300A在線輻射安全報警儀是一種新型的x-γ輻射連續監測報警裝置,它采用特殊設計的前置放大電路,具有靈敏度高、操作方便、自動顯示和超閾值報警等特點,能實時給出xγ輻射劑量率;儀器內置海量數據存儲功能,能存儲10年的歷史數據且標配提供強大的RenLocal輻射監測數據分析軟件。考慮
產品名稱:REN500L型環境監測用X、γ輻射空氣比釋動能率儀
產品描述:REN500L環境監測用X、γ輻射空氣比釋動能率儀采用超大尺寸、高靈敏的閃爍晶體作為探測器,反應速度快。主機內置探測器使得整機有更寬的測量范圍。儀器滿足《環境地表γ輻射劑量率測定規范》中低劑量部分的要求。該儀器除能測高能、低能γ射線外,還能對低能X射線進行準確的測量,具有良好的能量響應特性。此外通過
產品名稱:REN300型在線x-γ輻射安全報警儀
產品描述: REN300在線x-γ輻射安全報警儀是一種新型的x-γ輻射連續監測報警裝置,它采用特殊設計的前置放大電路,具有靈敏度高、操作方便、自動顯示、數據存儲和超閾值報警等特點,能實時給出xγ輻射劑量率。考慮到現場操作、應急快速響應的需要,主機安裝在輻射現場,實現實時監測與就地報警,通過RS48
產品名稱:REN系列智能化輻射探頭
產品描述:REN系列智能化輻射探頭均可和REN300、REN300A、REN300B系列主機配套使用,也可以單獨配套RenRiArea輻射區域監測軟件使用。且具有RS485/RS232的通訊能力。所有探頭均可單獨外接報警燈,在超閾值的情況下就地給出聲光報警。 (一)REN-GM-L型 GM管
產品名稱:RenRiArea區域輻射監測系統
產品描述:為了加強對放射源和射線裝置安全運行的監督管理,保障人體健康、保護環境,根據輻射防護三原則與國家相關標準的要求,考慮人為操作失誤、射線裝置和放射源意外故障等原因可能引發的放射性危害,有必要建設一套在線xγ射線監測報警系統。 在線式xγ射線監測報警系統通過計算機遠程集中監測,完成對放射性


………………………………………………(A1)
…………………………………………(A3)
……………………………………………(A4)
……………………………………………(A5)
……………………………………………(A6) 





滬ICP備09065761號-16